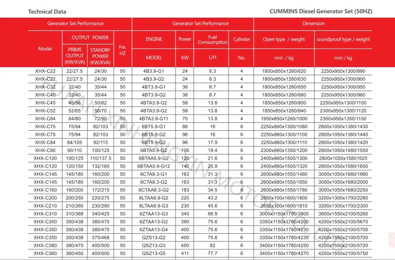
58KW Cummins silent diesel generator price in india


Engine feature→Diesel, heavy-duty, four stroke, water cooled and direct injection fuel system
→24V D.C starter and charger alternator
→Industrial capacity exhaust silencer supplied loose with flexible section
and mating connections
→ Set mounted tropical duty radiator
→Engine driven cooling fan with protection guard
→Steel wire braided fuel lines, vent and rain fittings
→Set mounted acid battery installed with leads and terminals
Alternator featureBrushless self excited, single bearing, 4 poles
Class H insulation
IP23 protection standard
Self-exciting and self-regulating
Automatic voltage regulator (AVR)
Our Advantages1. High pressure pipes for diesel input-outlet
2. Stronger heavy duty rubber anti-vibration mountings
3. All base fuel tank Baking paint
4. All canopy powder coating (Powder type - 3 years durable, longer service life and less color fading)
5. Maintenance free battery and high quality battery charger
6. High standard wiring and brands (Chint/Delixi) relays, indicators, fuse breaker, meters etc.
7. Non-return Valve equipped
8. Turbo charger protection, moving parts protected and other CE standards (depends on required)
9. ONE Hour Testing for all genset (0%-25%-50%-75%-100%-110% loading)
10. Make sure the Fastest Delivery Time
11. Reliable Quality and Aftersale Services as committed
12. Excellent Quality Control and Pre-shipment Inspection
(All base frame, fuel tank, canopy, ATS cabinets etc are produced in Hensing factory zone to avoid any out-off-controlled quality problems.
Control systemmanual / auto start and protection module
Equipped with ComAp AMF20 controller/Smargen 6110
New integrated controllers in manual and remote start application, featuring full gen-set monitoring and protection. It is equipped with a powerful graphic display, Icons, symbols and bar graphs for intuitive operation together with high functionality set new standards in gen-set control. Special low temperature version is also available, allowing the display to work up to -30°C.
Accessories1) Standard accessories
Standard 40 radiator mounted on skid, Common steel frame, circuit breaker, Non-return valve(imported from ITALY),Shock Pad,exhaust silencer, battery and connecting wires, Standard tools kit, operation manual and document.
2) Optional accessories
Engine coolant and oil heater, cooling for heat exchanger, communication interface, battery charger by main supply, ATS and paralleling system, soundproof canopy
Warranty policyGuarantee for one year or 1000 hours whichever reach first from ex-factory date. During the guarantee period, Hensing will provide the free easy-damageable spare parts of diesel engine caused by our quality of production or raw material. After expiration, Hensing provides cost spare parts maintenance of gensets



